Matemáticas I
16 feb. 2026
Repaso de matrices
Cálculo de determinantes
Cálculo de inversas
Cálculo de determinantes 4 x 4
Descomposición de expresiones algebraicas
Cálculo de derivadas I
Cálculo de derivadas II
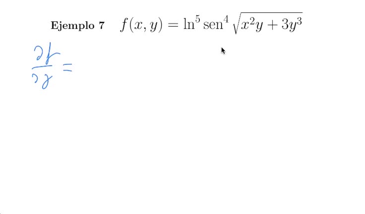
Cálculo de derivadas III
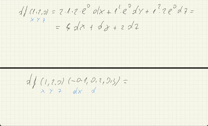
La diferencial de una función
La regla de la cadena
Cálculo de límites
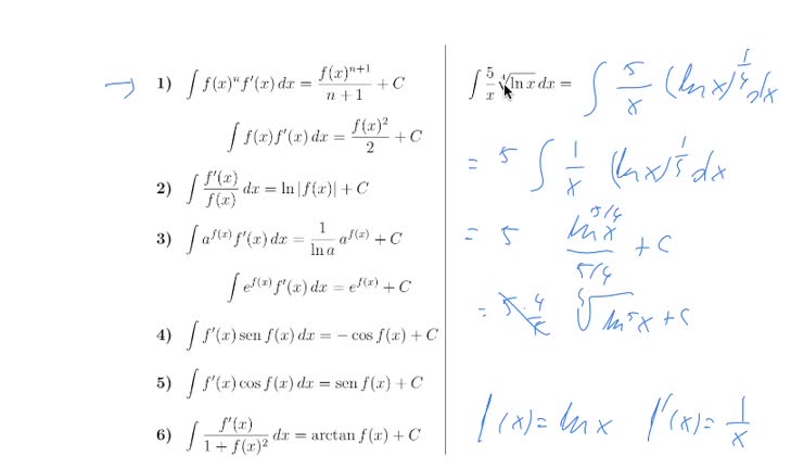
Ejemplos de integrales inmediatas
- ← Anterior
- 1 (current)
- 2
- Siguiente →