MoodleMoot UV 2025. Del aula al entretenimiento: cómo llevamos el diseño de cursos al siquiente nivel.
Del aula al entretenimiento: cómo llevamos el diseño de cursos al siquiente nivel. Javi Ronda.
MoodleMoot 2025. Universitat de València, Servei d'Informàtica. Realizado desde la Facultad de Filosofia y Ciencias de la Educación. Abril 2025. Javi Ronda.
Licencia: Reconocimiento-NoComercial-CompartirIgual 3.0 España (CC BY-NC-SA 3.0 ES)
Relacionados




Manualidad navideña de Pokemon

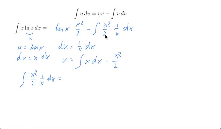
Clase Seminario de álgebra 05/03/2024






Session 1 - Introduction to Causal Methods and Causal Inference


Session 1 - Probability & Uncertainty


Advances in Dimensionality Reduction (Part I)
